Free Ohio Eviction Notice Forms Rev 2025 PDF Word, Ohio eviction notice templates free to download All eviction forms are fillable and printable as either a PDF or Word doc . Free Ohio 3 Day Notice to Quit Form Non Payment PDF Word eForms, An Ohio 3 day notice to pay or quit non payment of rent is a document used by landlords to notify tenants that they failed to pay rent on time Upon receiving the written notice tenants have three days to either pay or face eviction
.Free Printable 3 Day Eviction Notice Ohio

Free Printable 3 Day Eviction Notice Ohio
Free Ohio Eviction Notice Forms Rev 2025 PDF Word
O R C Section 1923 04 THREE DAY NOTICE TO TENANT TO LEAVE PREMISES 3 DAY NOTICE To Date date served on tenant list each tenant The purpose of this notice is to ask you to LEAVE the premises now in your possession situated in city or township Hocking County Ohio and known as full address and apartment number of rental premises .
Download our free Ohio eviction notice Demand that your tenant complies with the lease or pay rent with an eviction letter for Ohio .
span class result type PDF span Ohio 3 Day Notice to Quit iPropertyManagement
Ohio and known as full address and suite number of rental You are being asked to LEAVE for the following reason state reasons for eviction Leave the premises before to prevent any further eviction action against you .
You are being asked to leave the premises If you do not leave an eviction action may be initiated against you If you are in doubt regarding your legal rights and obligations as a tenant it is recommended that you seek legal assistance THIS NOTICE IS IN ACCORDANCE WITH Ohio Rev Code 1923 02 Dated this day of 20 .
Free Ohio Eviction Notice Forms PDF Word Templates
Free Ohio 3 day notice to pay or quit form used for an eviction for nonpayment of rent Available as a PDF or Word doc .
An Ohio 3 day notice to pay or quit non payment of rent is a document used by landlords to notify tenants that they failed to pay rent on time Upon receiving the written notice tenants have three days to either pay or face eviction .
Disclaimer: Content available here is for informational and non-commercial purposes. All brands are property of their respective holders. For concerns about usage, please contact us.






Free Printable 3 Day Eviction Notice Ohio Images Gallery
Cleveland 3 Day Notice to Vacate | ezLandlordForms

Free Eviction Notice Template | PDF & Word | CocoDoc

Roommate Eviction Notice Template

Ohio Eviction Notice: Get Your Free Form Now! | CocoSign

Free Eviction Notice Template - PDF | 12KB | 1 Page(s)
![]()
Free OH Eviction Notice: Make & Download - Rocket Lawyer
Ohio 3 Day Notice to Vacate | ezLandlordForms

Ohio 3 Day Notice to Pay Rent or Quit Prior to Eviction for Residential Property - Ohio 3 Day Form | US Legal Forms
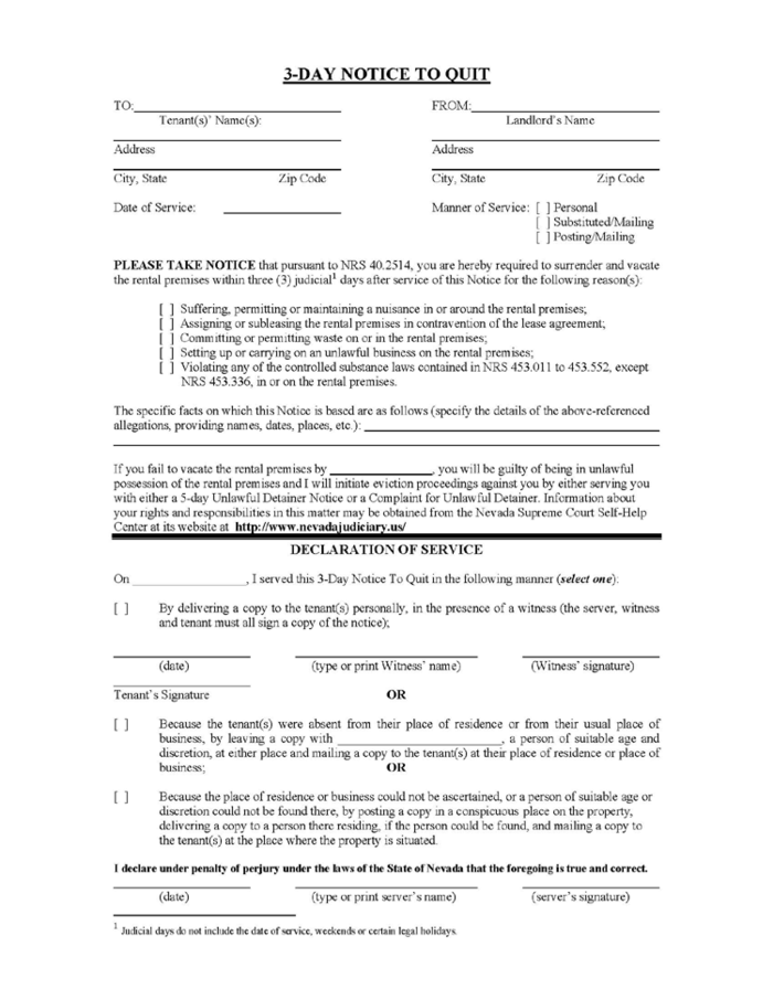
Nevada 3 Day Notice to Quit | ezLandlordForms

Ohio 3 Day Notice to Pay Rent or Quit Prior to Eviction - Eviction Notice Ohio | US Legal Forms
FAQs You Might Have
1. What exactly are free printables?
They’re downloadable files—like planners, worksheets, and creative pages—you can print at home or via a local service, 100% free.
2. What printables do you offer?
From educational tools to home decor and planners, our platform is your one-stop printable destination.
3. Is this all original content?
We share curated printables and do not hold copyrights unless stated. Let us know if any credit or removal is needed.
4. What’s the download process?
Click on the preview you like, then right-click and select "Save image as" to download. Choose a folder on your computer, and it's all yours!
5. Are your printables good resolution?
We offer files in common image file types like PNG and JPG, guaranteeing they look great when printed.
6. What if I need a better version of the file?
We recommend going to the original site if you’d like a version with better quality.
7. What should I do if the printable has a watermark?
Watermarks usually mean it’s a lower-quality version. Just follow the source to find the original high-quality version without the watermark.
8. Is commercial use permitted?
These printables are for non-commercial use only. For business purposes, please review the original site’s license.
9. How are you offering these without a fee?
Our goal is to make creative materials accessible to everyone. These are sourced from various creators and offered for free to support learning and creativity.
10. What’s the source of your downloadable content?
Our team collects the best printable content found via search engines and offers them here for convenience.
11. What formats do your printables come in?
You’ll find PNG files that work well with all standard printers. No special software needed.